Following Honda, Toyota also increases the prices of its offerings
MANILA: Last week on July 1, 2019, Honda gave all of its cars in the Philippines a price hike. Only the recently refreshed Civic, all-new BR-V, HR-V, and Accord retained their previous prices. Following the suite, Toyota, another Japanese automobile manufacturer, has also increased the retail prices of its offerings in the country. However, just like Honda, Toyota has also exempted a couple of models from the price hike. These cars include the all-new 2019 Avanza and the Corolla Altis.

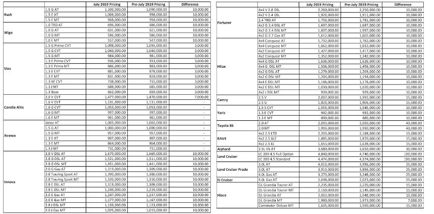
While the Toyota Vios has received the lowest price hike of Php 3,000, the Toyota Land Cruiser price is now up by good Php 100,000. On average, the price hike is of Php 12,468. An increase of Php 43,000 in the price of the Toyota 86 has made the distant cousin, Subaru BRZ, cheaper than the 86.

The following image depicts the changes in the prices of all the Toyota cars and their various variants:

Moreover, while the 2019 Avanza deserved to retain its price, the retention of its price by the Toyota Corolla Altis very clearly hints towards the arrival of the next-generation model in the Philippines.
Also Read:- What is ‘Super’ about the 2020 Toyota Hiace Super Grandia, besides its Php 2.4m price tag?
Sell your car at the best price
Verified and genuine buyers
Toyota Land Cruiser 200 Related Stories
- News
- Featured Stories
Toyota Car Models
Trending & Fresh Updates
- Latest
- Popular
You might also be interested in
- News
- Featured Stories
Toyota Featured Cars
- Latest
- Upcoming
- Popular
Latest Toyota Land Cruiser 200 Car Videos on Zigwheels
Toyota Land Cruiser 200 Car Articles From Carmudi
- journal